
渦街流量計應用常見問題及分析
1.1現象一:示值穩定,趨勢清晰,但誤差明顯
分析:DCS中設置、組態錯誤。
開方運算為最常見錯誤,也常見溫壓換算公式、密度查詢公式錯誤,修正錯誤即可。
(壓力流量計)

(渦街流量計)
1.2現象二:開車時,示值為零,工藝正常時,測量正常;但在正常生產中,流量稍小就回零,流量大時,測量正常
分析:流量計測量下限高于開車時的小流量,問題在于:流量計口徑規格偏大,或流量計自身下限偏高。
調高靈敏度可降低下限,但很可能發生無流量、有示值的情況發生,原因在于:高靈敏度下,干擾被誤識為渦街信號,應換裝更小口徑規格產品,以增強流量信號,但可能引發現象三問題。因此更換具有更低測量下限的產品是更好的辦法。

注釋:
第二種現象,是我們選了最好的渦街,像我們熟知的愛默生和橫河的渦街,一般就是開車的時候沒流量,等開車成功正常生產了流量計就好好的了。這個問題倒不是很大,但是以我們的經驗看,往往會惹出大麻煩,開車時萬一老總跑到中控室一看流量都是0,然后就問投料沒有。投了。那為什么沒流量,流量計都是壞的?老總他不是自控出生,他不會明白這個現象是怎么回事,這時反而給我們自控人員帶來很大的壓力。
想要解決這個問題,只有辦法,那自由提高靈敏度,那提高了靈敏度以后,渦街的下限就下去了,但這么搞就會發生渦街歸不0,沒有流量也有指示,這個惹的麻煩就會更大。
還有一種解決方案就是換小口徑的表,那也是相當麻煩,得重新買重新配管重新安裝。口徑變小,測量下限也變低了,流量可以測到了,但是你這么做了以后,往往會發生這個問題。
1.3現象三:流量大時,誤差嚴重,甚至發生體/傳感器斷裂
分析:渦街的穩定性隨流速升高呈現穩定性變差的趨勢,如不能有效抑制,將產生漏計漩渦個數的情形,即“漏波”現象,常見流量超上限后,流量越大、示值越小的“倒走”現象,呈現超常誤差,更大的風險在于傳感器/渦街發生體斷裂。
在此,首先必須解除渦街發生體及渦街傳感器的斷裂風險,必須更換更大口徑規格,但易引發現象二。
因此,更換具有更高測量上限的產品是更好的解決方法。

注釋:
流量小的時候蠻好的,流量大的時候誤差非常大,大到負百分之幾十。因為渦街他有個特有度現象,當流量大于它的測量范圍的時候,真正的測量能力,渦街會出現倒走現象,就是流量越大指示越小,這也是渦街特有的漏波現象。還有更嚴重的情況,就是發生體或者傳感器斷裂,高速砸向下游。如果下游是非常昂貴的設備,那這個禍就惹的大了,這種現象的后果非常嚴重,我們得想盡辦法去避免這種現象的發生。
下面這兩張圖就是渦街漏波的原因,因為渦街越強的時候越不穩定,不穩定就是信號幅度大大小小,小到有些信號無法被觸發器識別。通過把頻率信號變成方波以后,可以數出漩渦個數,然而跟真正的渦街個數相比,少了44.3%。
1.4現象四:無流量,有示值;調整后,零點穩定,但有流量,也無示值
分析:無流量時,渦街流量計輸出的是干擾信號,通過降低靈敏度舍棄干擾,可使流量計歸零,但如干擾信號的強度高于最大流量的渦街信號,意味著:舍棄干擾的同時,流量信號也完全被舍棄,流量計不可用。
振動干擾下,半水煤氣總管渦街信號(管徑2200mm)

高分辨率干擾信號頻譜識別及抑制系統提取的渦街信號,流速0.25至1m/s

注釋:
第四種現象,非常嚴重,會讓用戶覺得自己是上當受騙了。沒有流量的,卻有指示,通過調整靈敏度以后,零點穩定了,但有流量的時候流量計也沒有指示了,這個是最頭疼的事了。
下面這兩張圖是我們山西的一個客戶,上面是我們用專用軟件錄下來的波形文件,可以看出,指示非常混亂,完全找不著渦街。
下面這張是我們用高性能電腦用頻譜分析及抑制軟件,找到了渦街,通過計算介質流速只有0.25~1m/s,像這種情況,我們流量計是根本無法運行的。
在這邊我也向大家說明一下,我們不向任何人隱瞞我們失敗的案例,這個就是我們失敗案例,我們要求客戶做退貨處理的,這樣客戶對領導也有交代。
1.5現象五:示值波動異常,誤差大
分析:直管段不足、安裝偏心過大、大尺寸異物掛/附、氣液共存等破壞卡門渦街的產生條件,流量計將亂流、雜亂漩渦誤識為渦街信號


高爐煤氣,管徑600mm,運行6個月后,不能產生卡門渦街


清理探頭后,測量準確
注釋:
第五種現象,示值波動很大,誤差也很大。比方說我閥門、壓縮機、泵、任何東西我都沒動過,流量不應該出現大的波動,但是流量指示就是不對,這個時候往往就是因為上面說列舉的幾個原因。
下面的圖片是一個典型的臟污影響測量的問題,這個高爐煤氣,用了一段時間以后,突然指示不對了,完全找不到渦街信號,我們通過我們在線檢測手段,判斷出探頭堵了,拆下后,手指摳干凈裝上,渦街立馬出來了,很穩定。
1.6現象六:流量變化,而示值基本不變,或變化混亂,已不能反應流量變化趨勢
分析:振動干擾、電磁干擾信號強度超越最大流量下的渦街信號強度,流量計輸出的是干擾信號頻率,與渦街頻率無關,因而與流量無關、
包絡線含流量信息,其他為干擾

注釋:
第六種現象,流量在變,但示值始終都沒有變化,遇到這個問題,毫無疑問只能退貨處理。
這個只有兩種原因,一種是振動干擾,另一種是電磁干擾。簡單的就是干擾信號,把渦街信號給壓制掉了,所以你流量在怎么變,流量計示值都只是顯示的干擾信號。
問題的匯總分析
問題的嚴重程度
現象一 ~ 現象六,依次遞增
問題的總結分析
非渦街流量計問題?現象一
測量上限不足帶來的問題?現象三
測量下限過高帶來的問題?現象二、現象四、現象六
安裝及流體條件帶來的問題?現象五
根據經驗,8成以上的運行不良,源于渦街流量計的測量下限高于欲測流量
現象二:渦街流量計測量下限高于開車時的小流量,低于常用流量。
現象四:渦街流量計測量下限高于常用流量。
現象六:渦街流量計測量下限遠高于欲測流量范圍。
渦街流量計的測量下限并非固定值,與流體工況密度及現場振動干擾/電磁干擾強度密切相關。
密度下降n倍,下限升高?n倍。
干抗升高n倍,下限升高?n倍。
根據我們的工程經驗,對于工藝專業給出的最小流量、最大流量(或量程)要求,應根據情況,在渦街流量計的口徑選擇時,留出“容錯”余量。
渦街流量計的測量下限,應為工藝提出的最小流量的1/3-1/10,依據工藝數據的可信度。
常見現場道振動干撫,可按照0.2-0.5g估算,常取決于動設備的性能及安裝水平,風管按動強度可高達2g-5g。
渦街流量計的測量上限,應為工藝提出的最大流量3倍以上。
容錯余量直接受限于渦街流量計的量程比性能指標。
問題的解答
首要的事項,是根據工藝要求選擇正確的口徑規格,以得到滿足工藝要求的測量范圍,即足夠的測量限。
渦街流量計為速度式流量計,應采用工況流速進行測量范圍的性能核算及審查。
流量低于下限,最好的結果是示值為零,與其他模擬式流量計不同,已不能反應流量趨勢,而非精度下降!因此必須留出足夠的下限余量。
代表小流量的是低頻信號,而非微弱信號,因此,常用的“小信號截除”穩定零點的措施對渦街基本無效。
渦街的測量下限通常由下列四個因素共同制約,實際下限必須取四個因素決定的最差值,最差值通常源于抗振性能的限制,因此表現出“渦街最怕振動”的共識
雷諾數下限的限制:
信號處理系統的低端頻響限制:
,直接查詢
信號處理系統的增益及抗干擾能力的限制
基于抗振性能認證指標及現場振動強度的流速測量下限的核算:
Vmin_1 →基于雷諾限制的工況流速下限(m/s)
Rd_min→為保證標稱精度,所需的最小雷諾數
μ →流體在工況下的動力粘度(cp或mpa.s)
ρ →流體工況密度(kg/m³)
D→管道內徑(mm)
Vmin_4→ 基于抗振性能認證指標及現場管道振動強度的流速下限(m/s)
V0→認證時的時速下限(m/s)
VIf→預計的現場管道振動干擾強度(g)
ρ0→認證時的流體工況密度(kg/m³)
VIo→認證的抗振動干擾強度性能(g)
ρ→現場流體工況密度(kg/m³)
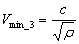
Vmin_3→ 基于信號處理系統抗干擾能力的流速下限(m/s)
C→常數,由信號處理系統的增益及抗干擾能力共同決定,各產品存在明顯差異
ρ→流體工況密度(kg/m³)
流量高于上限,最好的結果是因“漏波”“倒走”產生的超常誤差,更有可能致使傳感器壽命縮短,甚至發生體或傳感器斷裂的現象,威脅下游設備的安全,因此必須留出足夠的上限余量。
渦街的測量上限通常由下列兩個因素共同制約:
1.信號處理系統高端頻響、渦街發生體及傳感器的結構承受能力的限制,通常可直接采用制造商提供的上限值
2.工藝要求的壓力損失極限限制:

?P流量計產生的永久壓力損失(kPa)
Cd 渦街流量計阻力系數,由其結構決定
V流體工況流速,通常取最高流速(m/s)
ρ流體工況密度(kg/m³)
渦街對于易氣化的液態流體,如液氨、LNG、乙醇等,應確保足夠高的上游壓力或足夠低的溫度,以避免氣腐蝕現象的發生。公認的下游最低壓力Pdmin可采用下式計算:

其中
Pd min_ →下游最低壓力限(kPa_a)-絕對壓力
P vap → 流體在工況溫度下的飽和蒸汽壓(kPa_a)-絕對壓力
?P →總壓降(kPa)
Cd →渦街流量計阻力系數,由其結構決定
V →流體工況流速,通常取最高流速(m/s)
ρ →流體工況密度(kg/m³)
C1 →制造商提供的常數,取決于儀表結構(無量綱)
C2 →制造商提供的常數,取決于儀表結構(無量綱)
謹慎審核制造商要求的直管段需求
由于缺乏試驗數據及各產品結構差異,許多制造商照搬GB/T 2624.2-2006之前的孔板直管段需求,制造商制造商提出的直管段需求或許已經過低。
不足的直管段,輕則導致漩渦強度不穩定,產生難以接受的誤差;重則不能產生卡門渦街,連流量趨勢也不能反映。
避免不滿管的安裝位置
液體不滿管,可能導致傳感器不能拾取渦街信號,產生難以接受的誤差,甚至連流量趨勢也不能反映。
氣體管線下部存有液體時,氣體產生的渦街致使液體飛濺,產生的干擾往往遠超氣體渦街信號強度,致使流量趨勢也不能反映。


須謹慎考量的創新
大口徑/低流速的應用問題
Ø 由于K系數與渦街流量計流通管內徑呈反比,對于相同流速,呈現口徑規格越大,渦街頻率越低的規律,在選用DN200及以上口徑規格的滿管式渦街流量計時,可能出現渦街頻率與流速波動頻率相近甚至相同的情形,致使渦街頻率無法正確識別,產生難以接受的測量誤差,這種情形出現的概率隨口徑規格的增大及流速的降低而升高,因此更易出現在大口徑液體檢測的應用之中,這正是大多數制造商不生產DN300以上規格滿管式渦街流量計的真正原因。
自帶壓力檢測的問題
Ø 由于渦街流量計流通管內部流場呈現劇變的流場,依據伯努利方程即可判定:在渦街本體管壁上取得的壓力,與真實的管道靜壓必定存在明顯差異,并且,其差值與流體的流量/密度/粘度等特性密切關聯,當前缺乏試驗數據證明自帶壓力檢測的誤差可信度。